Extrusion technology
聯系APAS / Contact us
- 地址:天津市西青經濟技術開發區賽達國際工業城A3-2.
- 郵箱:lxc@apas.com.cn
- 電話:022-87920088
- 傳真:請聯系網絡管理員
- 郵編:300385
- 咨詢熱線:13702119190(24小時服務熱線)
鋁型材生產擠壓過程中金屬流動特點
擠壓是使金屬在外力作用下強制發生流動,產生變形;在擠壓過程中,錠坯所受的外力不是均勻的,因此其流動變形也不是均勻的,這就必然影響到鋁型材的組織、力學性能和尺寸上的差異;因此研究擠壓過程的特點,盡量減小不均勻變形的程度,采取一切技術措施,盡可能將鋁型材特性的差異降至最低限度,是廣大鋁型材加工工作者所面臨的最重要的課題;為了加深對問題的了解,先簡要介紹擠壓過程中階段的劃分和特點,以及擠壓的基礎理論知識;
1:鋁型材擠壓階段的劃分及特點
一般將鋁型材擠壓分為三個階段:開始擠壓階段、基本擠壓階段、終了擠壓階段;
①開始擠壓階段
開始擠壓階段又稱填充擠壓階段;在鋁型材加工生產中,一般被擠壓的錠坯直徑均小于擠壓筒內徑,擠壓筒壁和鑄錠之間存在一定的間隙,當然這個間隙希望越小越好;擠壓開始,金屬受到擠壓軸的壓力,首先充滿擠壓筒與模孔,擠壓力直線上升;筒壁和鑄錠間的間隙小,可減少填充時擠壓的變形量,從而減少填充時流入模孔的金屬長度,減少前端因變形不足而致使鋁型材組織性能低劣的幾何廢料;同時,當錠坯長度與擠壓筒直徑之比為3~4時,填充鐓粗可能出現鼓型,有可能在鋁型材模具附近形成封閉空間,使得間隙中的空氣在擠壓時受到劇烈壓縮并發熱,被強烈壓縮的氣體會進入錠坯表面的微裂紋中;裂紋通過模具時被焊合,出模孔后即形成氣泡,未能焊合的則在出模孔后成為起皮;間隙越小,出現氣泡和起皮的現象越輕,乃至消失;
但是,有時為了提高鋁型材的橫向力學性能,如生產2A12、7A04合金,希望填充階段有較大的變形量,則在填充擠壓階段需要給予鑄錠25%~35%的鐓粗變形;
②基本擠壓階段
基本擠壓階段又稱平流擠壓階段,這是鋁型材擠壓過程中最重要的階段;其應力狀態、金屬流動方式對材料的組織、性能和尺寸將產生重要影響;消除或減小該擠壓狀態下的應力不均勻性,保持金屬的合理流動,是提高擠壓材質量的關鍵;
③終了擠壓階段
終了擠壓階段是指在擠壓筒內的鑄錠長度減小到接近變形區壓縮錐高度時的金屬流動階段;當墊片接近變形區壓縮椎后,供應此區的金屬體積已相應減少,如擠壓軸運動速度,即擠壓速度保持不變時,必然引起金屬在徑向上的流動速度增加;
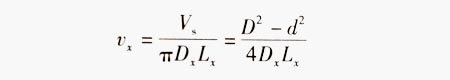
假設供應體積內的金屬徑向流動速度與墊片和模子滑動摩擦面上的金屬流動速度都相等,則秒供應體積在直徑為Dx,高度為Lx的圓柱面上的徑向流動速度為:
由公式可以看出,金屬的徑向流動速度是變化的,并且與鑄錠的高度和金屬質點的位置有關;變形區中鑄錠金屬的高度越大,則流速越小;金屬質點越接近模孔,速度越大;
產生上述現象的原因是,在墊片未進入變形區壓縮椎之前,變形區中的金屬體積并未減少,即進入變形區多少金屬,就能從模孔中流出多少金屬;但墊片進入變形區壓縮錐之后,變形區中的金屬體積減少,如擠壓速度和延伸系數不變時,金屬的流出速度也不變,而擠壓速度與流出速度之間存在如下關系:
于是向膜孔中供應的金屬秒體積也不變,因此必然引起金屬的橫向流動速度和在墊片、模子接觸面上的滑動增加,隨之引起變形速度和金屬硬化程度的增加;而其接觸表面的大小不變,故滑動速度和鋁型材硬化程度的急劇增加必然增大消耗于滑動上的功和功率,從而使得擠壓力增高;
總之,在鋁型材正擠壓生產中,由于種種原因,擠壓過程中的金屬流動速度和變形程度都是不均勻的,必然影響鋁型材在組織和性能上的差異;而差異越大,則表明其鋁型材的性能越不穩定;因此盡可能消除或減小差異,保證鋁型材使用性能的穩定,是型材科技工作者面臨的重要任務;多少年來,科技人員對此做了大量工作,改善擠壓條件:一方面改進配套設備和工、模具的設計,提高設計水平,改進工藝制度,優化工藝操作,盡可能降低擠壓過程中變形的不均勻性,這一點我們將在后面有關的分析中進行討論;另一方面研究開發新的裝備,改善金屬的流動速度,減小或消除變形程度的不均勻性,于是出現了反向擠壓和靜液擠壓,,推進了擠壓加工技術的發展;
2:鋁型材生產反向擠壓的金屬流動
與正向擠壓的最大不同,反向擠壓的基本特點是錠坯金屬的大部分與擠壓筒壁之間無相對滑動,因此塑性變形區集中在模孔附近;根據實驗,塑性變形區的高度不大于0.3Do;下圖所示為反擠壓時作用于金屬上的力;由于變形區之外的金屬4區與筒壁間無摩擦力,該部分的受力條件為三向等壓應力狀態;金屬在塑性變形區中的流動情況與正擠壓時的有很大不同;反擠壓時,由于在塑性變形區中金屬與筒壁間的摩擦力的作用方向與金屬流出模孔的方向相同,所以死區很小;所以反擠壓時死區不能組留錠表面層而導致其表面缺陷流向鋁型材表面,使表面質量惡化;為此,用于反擠壓的鑄錠必須車削表面或進行脫皮處理;
由于反擠壓的塑性變形區只集中在模孔附近,使變形的不均勻性大為減小,尤其是沿長度方向減小更為明顯;由于反擠壓變形均勻,其鋁型材的組織和力學性能得到明顯改善,波動范圍小,穩定性提高;其鋁型材缺陷的形式和出現的幾率也發生一定的變化,這一點將在后面進行討論;
3:靜液擠壓
靜液擠壓又稱高壓液體擠壓,擠壓時,錠坯借助于其周圍高壓液體的壓力(達980~2942MPa)從模孔中擠出,實現塑性變形;該方法錠坯不與擠壓筒內壁直接接觸,無摩擦,金屬邊形極為均勻,鋁型材質量好;錠坯處于高壓液體之中,錠坯長度與直徑之比達40時,錠坯也不會發生彎曲;錠坯與模子之間處于流體動力潤滑狀態,摩擦力很小,表面光潔度高;鋁型材力學性能在斷面上和長度上非常均勻;但設備要求密封性能高;擠壓筒、擠壓軸需承受極高壓力,其材質選擇和結構設計極其重要而復雜,尚不能普遍推廣;但應用于生產某些特殊材質鋁型材產品,具有廣闊的發展前景;
聯系APAS/ Contact us聯系電話:022-87920088
企業傳真:(避免惡意廣告)請聯系該企業網絡管理員
服務熱線:13702119190 (24小時服務熱線)
Q Q:534973906
企業郵箱: lxc@apas.com.cn
企業地址:天津市西青經濟技術開發區賽達國際工業城A3-2
采購意向留言:* 為必填



.jpg)
QQ咨詢
電話聯系
聯系電話

在線留言
樣冊下載
